Sáng 31.3, Sở GD-ĐT thành phố Đà Nẵng cho biết đã ban hành Quyết định số 594/QĐ-SGDĐT về việc giao chỉ tiêu kế hoạch trẻ, học sinh, học viên và chỉ tiêu tuyển sinh năm học 2026 - 2027. Đáng chú ý, chỉ tiêu tuyển sinh lớp 10 công lập tiếp tục thấp hơn đáng kể so với số học sinh lớp 9 hiện có.

Học sinh lớp 9 tại thành phố Đà Nẵng sắp bước vào kỳ thi lớp 10 với áp lực cạnh tranh cao năm 2026
ẢNH:
Cụ thể, năm học 2026 - 2027, toàn thành phố Đà Nẵng có 76 trường công lập gồm các trường THPT, THPT chuyên và các trường phổ thông dân tộc nội trú THCS, THPT tuyển sinh 38.690 học sinh vào lớp 10, tương ứng 871 lớp. Ở khối giáo dục thường xuyên, các đơn vị tuyển mới 1.215 học viên lớp 10, biên chế thành 27 lớp.
Trong khi đó, năm học 2025 - 2026, thành phố Đà Nẵng có gần 46.000 học sinh lớp 9. Như vậy, số lượng học sinh vượt xa chỉ tiêu tuyển sinh công lập, với hơn 7.000 em đứng trước nguy cơ không trúng tuyển vào lớp 10 công lập, khiến áp lực cạnh tranh dự báo gia tăng.
Kỳ thi tuyển sinh vào lớp 10 năm học 2026 - 2027 tại thành phố Đà Nẵng sẽ diễn ra từ ngày 22 - 25.5 với 3 môn thi gồm ngữ văn, toán và ngoại ngữ.

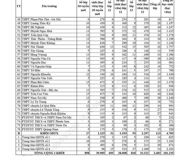
Chỉ tiêu tuyển sinh lớp 10 năm học 2026 - 2027 được phân bổ chi tiết cho từng trường
CHỤP LẠI MÀN HÌNH

Chỉ tiêu tuyển sinh lớp 10 năm học 2026 – 2027 được phân bổ chi tiết cho từng trường
ẢNH: CHỤP LẠI MÀN HÌNH
Trong đó Trường THPT Phan Châu Trinh có chỉ tiêu tuyển sinh cao với 32 lớp 10, tương ứng 1.440 học sinh. Ở khối giáo dục thường xuyên, tổng số lớp 10 tuyển mới là 27 lớp với 1.215 học viên, góp phần mở rộng cơ hội học tập cho học sinh sau THCS.
Bình luận (0)