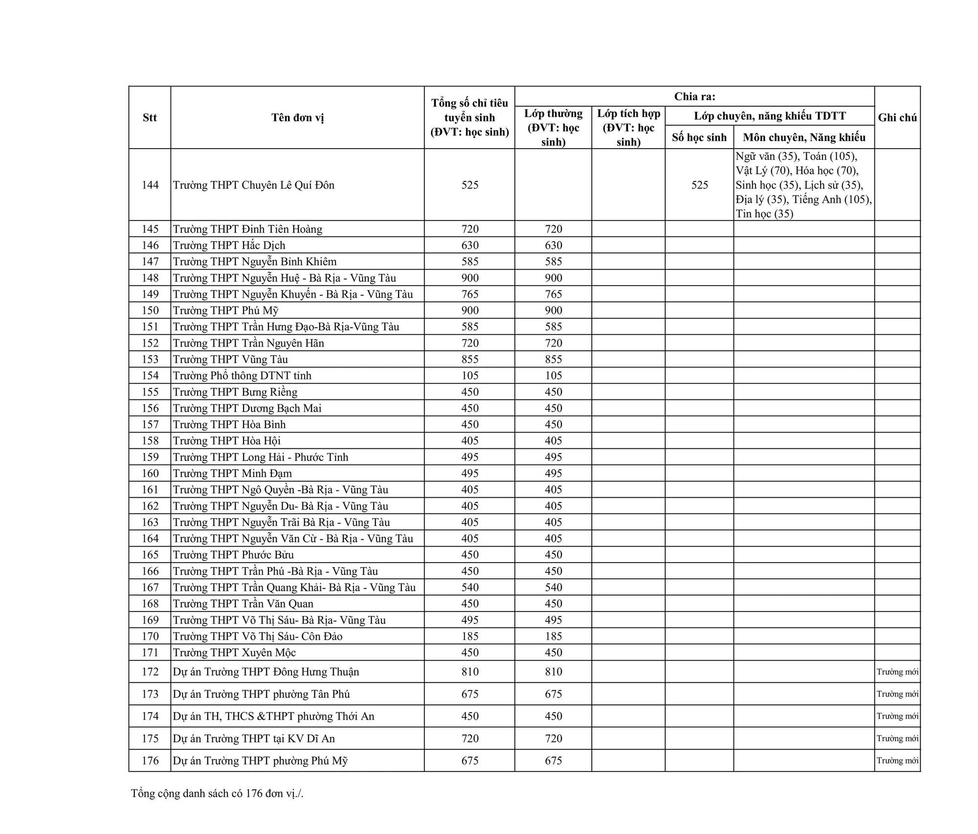
Theo quyết định phân bổ chỉ tiêu tuyển sinh lớp 10 của Sở GD-ĐT TP.HCM vừa ban hành, các trường THPT công lập của TP.HCM năm nay sẽ tuyển tổng số khoảng 120.000 học sinh vào lớp 10. Chỉ tiêu tuyển sinh lớp 10 vào từng trường THPT công lập, cụ thể như sau:
Chỉ tiêu 176 trường THPT công lập




Theo quy định của Sở GD-ĐT TP.HCM, học sinh lớp 9 ở TP.HCM sẽ đăng ký nguyện vọng lớp 10 trực tuyến trên hệ thống tuyển sinh lớp 10 tại địa chỉ ts10.hcm.edu.vn.
Thí sinh được đăng ký tối đa 3 nguyện vọng vào lớp 10 ở các trường THPT bình thường, 2 nguyện vọng vào lớp 10 chuyên và 3 nguyện vọng vào lớp 10 chương trình tiếng Anh tích hợp.
Riêng với học sinh hoàn thành chương trình giáo dục THCS tại các tỉnh, thành phố khác, nếu có nhu cầu đăng ký dự thi tuyển sinh vào 4 trường THPT chuyên của TP.HCM thì nộp hồ sơ đăng ký dự thi tập trung tại Trường THPT chuyên Lê Hồng Phong.
Dự kiến ngày 4.5, Sở GD-ĐT TP.HCM sẽ phổ biến số liệu tổng hợp về số lượng nguyện vọng 1 học sinh đăng ký vào từng trường THPT.
Trong khoảng thời gian từ 4 đến 8.5, học sinh có thể thay đổi nguyện vọng đăng ký dự thi lớp 10 (thực hiện trực tuyến).
Học sinh được quyền thay đổi nguyện vọng hoặc thứ tự nguyện vọng chứ không được phép thêm mới hoặc loại bỏ thí sinh ra khỏi danh sách đăng ký dự thi ở giai đoạn 1 (ví dụ giai đoạn 1 không đăng ký thi lớp 10 chuyên thì lúc này cũng không được phép đăng ký thêm).
Kỳ thi tuyển sinh lớp 10 ở TP.HCM sẽ diễn ra ngày 1-2.6. thí sinh sẽ dự thi 3 môn gồm: Toán, ngữ văn (thời gian làm bài 120 phút/môn), ngoại ngữ (90 phút) nếu dự thi lớp 10 thường và bài thi môn chuyên hoặc tích hợp nếu dự thi lớp 10 chuyên hoặc tích hợp.
Bình luận (0)